Rüzgarla İtilen Yağmur Etkisinde Dış Duvar Sisteminin Su Geçirimlilik Performansının Değerlendirilmesinde Kullanılan Laboratuvar Deney Yöntemleri

TEKNİK MAKALE
53. Sayı (Mart Nisan 2005)

Rüzgarla itilen yağmur, dış duvar sistemlerini etkileyen en önemli su kaynaklarından biridir. Yağmur suyunun dış duvar sistemlerinde neden olduğu hasarlardan bazıları, metal bileşenlerde korozyon, ahşap bileşenlerde deformasyon, ısı yalıtım malzemelerinde ısı iletkenlik katsayısının artması, çiçeklenme, kaplama malzemelerinde kabarma ve dökülmedir.

Dış duvar sisteminde oluşabilecek yağmur suyu kaynaklı hasarların önlenebilmesi için yağmur etkisinde dış duvar sisteminin su geçirimlilik performansının yapım süreci öncesinde, laboratuvarda deneysel olarak değerlendirilmesi gerekir. Bu çalışmanın amacı bir laboratuvar deney yönteminin nasıl olması gerektiği konusunda fikir vermek, dünyada mevcut standartlarda tanımlanan laboratuvar deney yöntemlerini tanıtmak ve tst EN 12155 ile tst EN 13050 standartlarında tanımlanan deney parametrelerinin ülkemiz iklim şartları için ne derece uygun olduğunu tartışmaktır. Bu nedenle çalışmada ilk olarak rüzgarla itilen yağmur etkisindeki dış duvar sisteminin gerçek hizmet şartları tanımlanmış ve gerçek hizmet şartlarını simule eden laboratuvar deney yönteminin nasıl olması gerektiği tarif edilmiştir. Dünyada mevcut standartlarda yer alan deney yöntemleri anlatılmıştır. Sonuç olarak da standartlarda verilen yöntemlerin gerçek hizmet şartlarını ne dereceye kadar simule ettiği tartışılmıştır.

1. GİRİŞ

Rüzgarla itilen yağmur, dış duvar sistemlerini etkileyen en önemli su kaynaklarından biridir [1,2]. Yağmur damlaları dış duvarın dış yüzeyine çarpınca nispeten küçük boyutlu damlalar oluşur. Bazı damlalar sıçrayarak duvardan uzaklaşır, geri kalanlar ise dış kaplama malzemesinin dışa açık ve birbiriyle ilişkili gözeneklerine kılcal kuvvetler ile emilir. Yüzeyin suya doygun hale geldiği veya dış kaplama malzemesinin su emici olmadığı veya yağış şiddetinin malzeme su emme oranından daha fazla olduğu durumlarda, emilemeyen yağmur damlaları yüzey gerilimiyle yüzeyde tutunur ve birleşerek yüzeyde bir film tabakası oluşturur. Su, yüzeyde yer çekimi etkisi ile aşağı doğru akar ve eşzamanlı rüzgarın etkisiyle yanlara veya yukarı doğru hareket eder. Su, yerçekimi kuvveti ve/veya duvarın iç ve dış yüzeyleri arasındaki hava basınç farkı ve/veya kılcal kuvvetler nedeniyle yanlış tasarım, hatalı yapım ve yetersiz bakım sonucu oluşan duvar arakesit detaylarındaki boşluklardan, çatlaklardan ve derzlerden duvar bünyesine nüfuz edebilir. Duvartaşıyıcı sistem bileşenleri, duvardoğrama sistem bileşenleri, duvarservis sistem bileşenleri, duvarbalkon arakesit detayları, önemli su giriş noktalarıdır [3,4]. Dış kaplamayı geçen su, dış kaplama ve bitişikteki malzeme ara kesitinde yerçekimi kuvveti etkisiyle aşağı doğru akarak, burada birikebilir ve/veya bitişikteki malzemeye de kılcal kuvvetler ve/veya hava basınç farklı nedeniyle nüfuz ederek malzeme bünyesinde depolanabilir. Duvar bünyesi içinde gerçekleşen bu süreç, dış kaplamayı geçen su miktarı, duvar bileşenlerinin tasarımı, bileşenlerin nem miktarı, sıcaklık, süre vb. parametrelere bağlı olarak devam eder [5]. Yağmur suyunun dış duvar sistemlerinde neden olduğu hasarlardan bazıları metal bileşenlerde korozyon, ahşap bileşenlerde deformasyon, ısı yalıtım malzemelerinde ısı iletkenlik katsayısının artması, çiçeklenme, kaplama malzemelerinde kabarma ve dökülmedir [6,7]. Dış duvar sisteminde oluşabilecek yağmur suyu kaynaklı hasarların önlenebilmesi için yağmur etkisinde dış duvar sisteminin su geçirimlilik performansının, yapım sürecinden önce laboratuvarda deneysel olarak değerlendirilmesi gerekir. Laboratuvar deneyleri, yağmur suyunun dış duvar sistem bileşenlerinde neden olduğu nem miktarının [8] yanı sıra suyun hangi duvar arakesit detaylarından ne miktarda girebileceğini, dış kaplamayı geçen suyun duvar bünyesi içinde izleyeceği yolu, hangi duvar bileşenleri arasında ne miktarda birikebileceğini ve hangi bileşenlerin bozulma riski altında olduğunu, duvar yapım süreci öncesinde belirlenmesini sağlar [9].

Günümüzde, rüzgarla itilen yağmur etkisinde dış duvar sisteminin su geçirimlilik performansının değerlendirilmesi için laboratuvar deney yöntemi tanımlayan çeşitli standartlar bulunmaktadır [10]. Ülkemizde, Türk Standardları Enstitüsü tst EN 12155Giydirme cephelerSu sızdırmazlıkStatik basınç altında laboratuvar deneyi ve tst EN 13050Giydirme cephelerSu sızdırmazlıkDinamik hava basıncı ve su püskürtme etkisi altında laboratuvar deneyi standartlarında tanımlanan deney yöntemlerinin kullanılmasını önermektedir.

Bu çalışmanın amacı, bir laboratuvar deney yönteminin nasıl olması gerektiği konusunda fikir vermek, dünyada mevcut standartlarda tanımlanan laboratuvar deney yöntemIerini tanıtmak ve tst EN 12155 ile tst EN 13050 standartlarında tanımlanan deney parametrelerinin ülkemiz iklim şartları için ne derece uygun olduğunu tartışmaktır. Bu nedenle çalışmada ilk olarak rüzgarla itilen yağmur etkisindeki dış duvar sisteminin gerçek hizmet şartları tanımlanmıştır. Daha sonra gerçek hizmet şartlarını simule eden laboratuvar deney yöntemlerinin nasıl olması gerektiği tarif edilmiştir. Dünyada mevcut standartlarda yer alan deney yöntemlerinde verilen deney parametreleri, deney protokolü ve performans kriterleri tanımlanmıştır. Sonuç olarak da yöntemlerin gerçek hizmet şartlarını ne dereceye kadar simule ettiği tartışılmıştır. Söz konusu yöntemlerde ve uluslararası araştırma merkezlerinde kullanılan deney numuneleri ve deney aletleri ise diğer bir çalışmanın konusu olacaktır.

2. RÜZGARLA İTİLEN YAĞMUR ETKİSİNDE DIŞ DUVAR SİSTEMİNİN GERÇEK HİZMET ŞARTLARI

Atmosferde bir yağmur damlası oluştuğunda, belirli boyuttaki damla yerçekimi etkisiyle belirli bir hızda düşeyde yeryüzüne doğru hareket eder. Büyük boyutlu bir damlanın hızı, küçük boyutlu damlanın hızına nispeten daha fazladır. Damla, hareketi sırasında hava direnci ile karşılaşır. Direncin yönü, düşeyde damla hareketinin ters yönündedir. Damla, yerçekimi kuvveti ve hava direncinin eşit olduğu hıza ulaştığında ise son düşme hızı adı verilen sabit bir düşey hız bileşeniyle hareket eder. Söz konusu büyük boyutlu bir yağmur damlası ise örneğin 56 mm çapında bir damla ise damla oluşumundan 20 m sonra son düşme hızına ulaşır [11]. Yağmur damlası, bir rüzgar alanına girdiğinde ise yatay yönde bir hız bileşeni kazanır. Yatay yöndeki hız bileşeni rüzgar hızına ulaşıncaya kadar artar. Yağmur damlası yatay yöndeki rüzgar hız bileşeni nedeniyle düşey yönden belirli bir açıda sapma yapar ve bu yönde son düşme hızı ile rüzgar hızına bağlı bir hızda hareketine devam eder. Bir yağışta çeşitli boyutlarda, düşey yönden değişik açılarda, farklı hızlarda hareket eden yağmur damlaları bulunur. Rüzgar nedeniyle yatay yönde hız bileşeni olan ve düşeyde hayali bir düzleme çarpan yağmur damlalarına açık alanda rüzgarla itilen yağmur adı verilir. Açık alanda rüzgarla itilen yağmur şiddeti ise hayali bir düşey düzleme çarpan yağmur damlalarının oranıdır [12]. Açık alanda rüzgarla itilen yağmur henüz bir bina cephesi ile karşılaşmamış yağıştır. Açık alanda rüzgarla itilen yağmur bina cephesine çarptığında (Şekil 1), yağmur damlalarının boyutu, damla boyutlarının yağış içinde dağılım yüzdeleri, damlaların son düşme hızı, rüzgar hızı, rüzgar yönü, bina cephesinin rüzgar yönüne olan açısı, bina geometrisi (yükseklik, genişlik, saçak genişliği, cephe elemanlarının tipleri), yağışın süresi ve dış kaplama malzemesinin su emme özelliği gibi parametrelere bağlı olarak, bina cephesi üzerinde bir takım eşzamanlı olaylar gelişir ve bunlar cephede eşzamanlı çeşitli etkilerin meydana gelmesine neden olur. Söz konusu olaylar ve etkiler aşağıda açıklanmıştır.

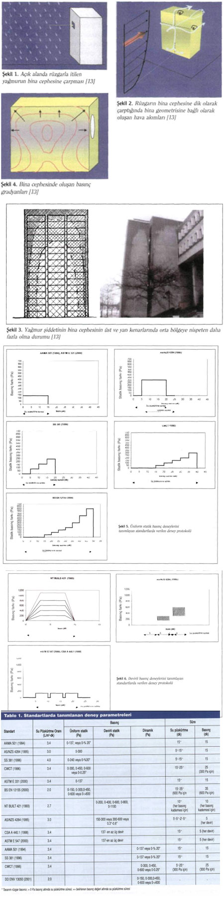
Rüzgar, binaya dik olarak çarptığında, bina geometrisine bağlı olarak hızı ve akış şekli değişir. Çarptığı noktada rüzgarın hızı azalır ve binanın dış kenarlarına doğru nispeten daha yüksek hızda ve farklı şekillerde hava akımları oluşur, Şekil 2. Bu sırada, nispeten küçük boyutlu yağmur damlaları binanın dış yüzeyine çarpamadan daha yüksek hızdaki hava akımları ile bina dış kenarlarına doğru sürüklenir. Büyük boyutlu yağmur damlaları ise doğrudan binanın dış yüzeyine çarpar. Büyük boyutlu damlalar henüz film tabakası oluşmamış dış yüzeye çarptığında daha küçük boyutlu damlalara ayrılır ve bazı damlalar yüzeyden sıçrayarak binadan uzaklaşır. Film tabakası oluşmuş yüzeye çarptıklarında ise film tabakasından su sıçratarak yeni damlalar oluşturur. Her iki durumda da nispeten küçük boyutlu damlalar mevcut hava akımları ile bina dış kenarlarına doğru sürüklenir. Bu nedenle, bina cephesinde farklı bölgelerde rüzgarla itilen yağmur şiddeti farklı değerdedir; diğer bir anlatımla, yağmur şiddeti bina cephesinin üst ve yan kenarlarında, orta bölgeye nispeten daha fazladır [14], Şekil 3. Duvarın dış yüzeyinde oluşan su tabakası, dış kaplamanın yüzeyinden yerçekimi kuvveti etkisiyle aşağıya doğru akar ve/veya eşzamanlı rüzgarın etkisiyle diğer yönlere, diğer bir anlatımla, yanlara ve yukarı doğru hareket eder. Rüzgar, bina cephesine çarptığında, rüzgar hızının yükseklik ile değişmesi ve bina çevresinde oluşan farklı hızda hava akımları nedeniyle binanın tüm dış yüzeyi boyunca değişken basınç ğradyanlan oluşur, Şekil 4. Basınç ğradyanlan, dış duvar sistem bileşenlerinde düzensiz yer değişimlerine ve yağmur suyunun duvar bünyesine girmesine olanak sağlayan geçici boşlukların oluşmasına neden olabilir.

Dış ortam hava basıncı ile iç ortam hava basıncının farklı olması nedeniyle de duvarın iç ve dış yüzeyleri arasında basınç farkları oluşur. Rüzgarın etkisi zamansal olarak değişkendir; diğer bir anlatımla, dış duvar yüzeyi boyunca oluşan basınç ğradyanlan ve duvarın iç ve dış yüzeyleri arasında oluşan basınç farkı, zamanın bir fonksiyonu olarak değişkenlik gösterir.

3 GERÇEK HİZMET ŞARTLARINI SİMULE EDEN DENEY YÖNTEMLERİ

Bir önceki bölümde verilen bilgilere bağlı olarak, rüzgarla itilen yağmur etkisinde bir dış duvar sisteminin su geçirimlilik performansının değerlendirilmesinde kullanılacak bir deney yönteminden beklenilmesi gereken ilk ve temel özellik, yöntemin gerçek hizmet şartlarını simule etmesidir; diğer bir anlatımla, açık alanda rüzgarla itilen yağmurun durumunu veya rüzgarla itilen yağmurun dış duvara çarptığında duvarda meydana gelen etkileri simule etmesidir. Açık alanda rüzgarla itilen yağmurun simule edileceği deney yönteminde verilen gerçek bir yağıştaki yağmur damlalarının boyutları ile damlaların yağış içinde dağılım yüzdeleri hesaplanmalı [15] ve rüzgarın yönü, frekansı ile hızı belirlenmelidir. Deney aleti, rüzgarın hızı, yönü, frekansını simule eden bir alet ve su püskürtme aletinden oluşmalıdır.

Deney numunesi ise bire bir ölçekte bina cephesi olmalıdır. Deney protokolünde, verilen hızda, frekansta ve yönde rüzgar oluşturulmalı ve oluşturulan rüzgar alanının üst seviyesinden, su püskürtme aleti ile verilen gerçek yağıştaki damla boyutları ve damla boyutlarının yağıştaki dağılım yüzdeleri püskürtülmelidir. Böylece simule edilen açık alandaki rüzgarla itilen yağmur, bire bir ölçekteki bina cephesine çarpar. Bu yöntemde iki zorluk vardır: bunlardan bir tanesi püskürtülen yağmur damlalarının rüzgar alanına girmeden evvel son düşme hızlarına ulaştırılmasıdır. Örneğin 6 mm yağmur damlasının son düşme hızına erişmesi için yağmur damlasının rüzgar alanının üst seviyesinden yaklaşık 20 m yukarıdan bırakılması gerekir. Diğeri ise bina cephesinin tüm ayrıntıları ile bire bir ölçekte yapılmasıdır. Bu durum tek veya iki katlı binalar için bazen sorun olmayabilir; ancak yüksek katlı binalar için önemli bir sorundur. Rüzgarla itilen yağmurun dış duvara çarpması sonucunda duvarda meydana gelen etkilerin simule edileceği deney yönteminde ise öncelikle deney parametreleri, diğer bir anlatımla su püskürtme oranı ve uygulanacak basınç tipine bağlı olarak basınç değerleri hesaplanmalıdır. Su püskürtme oranı, duvarın yapılacağı iklim bölgesinde duvarın yüzeyinde 1, 5, 10 veya 30 yıl boyunca oluşabilecek en yüksek yağmur şiddetinin hesaplanmasıyla elde edilmelidir. Yağmur şiddetinin hesabında yer alan değişkenler, kısa süreli (1, 5, 10, 60 dk) düşey yağmur şiddeti, eşzamanlı rüzgar hızı, rüzgar yönünün duvara olan açışı, düşey yağmur şiddetinde en yüksek oranda bulunan damla boyutu, bu boyuttaki damlanın son düşme hızı ve bina geometrisidir [10]. Basınç değeri ise binanın cephesine 1, 5, 10 veya 30 yıl içerisinde gelebilecek yağışla eşzamanii en yüksek rüzgar hızının tespit edilip, duvarda neden olduğu basınç değerinin hesaplanması ile bulunmalıdır. Söz konusu hesap, üniform statik basınç deneyleri için geçerlidir. Devirli statik ve dinamik basınç deneyleri için de basınç değeri ve frekansı hesaplama yöntemleri vardır [10]. Deney aleti ise su püskürtme aleti ve basınç tipine bağlı olarak rüzgarın etkilerini simule eden bir aletten oluşmalıdır. Deney numunesi en az bir kat yüksekliğinde dış duvar sistemi olmalıdır. Deney protokolünde ise ilk olarak hesaplanan oranda su duvar yüzeyine püskürtülmelidir. Belirli bir süre sonra su püskürtme işlemi devam ederken belirlenen basınç değeri ve tipi duvar numunesine uygulanmalıdır. Her iki yöntemde, deneyin başlangıcından bitimine belirli bir süre sonrasına kadar, duvar bileşenlerinin bünyelerinde oluşabilecek nem miktar artışı, duvar tasarım ve yapım sistemine bağlı olarak, bileşenlerde uygun noktalara yerleştirilen nem sensörleriyle ölçülmelidir. Duvar bileşenlerinin arasına su girişi olup olmadığı ise duvar numunesinde uygun yerlere açılan gözlem noktalarından ve saydam duvar iç yüzey kaplamasından gözlem yolu ile tespit edilebilir. Duvarın iç yüzeyine su geçişi olup olmadığı da gözlem yolu ile tespit edilebilir. Duvar bileşenlerinin arasına giren ve/veya iç yüzeye gelen su miktarının, diğer bir anlatımla su giriş oranının hesaplanması istenilen durumlarda da duvar numunesinin uygun yerlerine su toplama kanallarının konulmalıdır.

4. STANDARTLARDA TANIMLANAN DENEY YÖNTEMLERİ

Mevcut standartlar incelendiğinde, standartların rüzgarla itilen yağmurun dış duvarda meydana getirdiği etkilerin simule edildiği deney yöntemlerini tanımlandığı belirlenmektedir. Mevcut standartlar ve her birinde tanımlanan deney parametreleri, diğer bir anlatımla su püskürtme oranı, basınç tipleri ile değerleri ve deney süresi, Tablo l'de verilmiştir. AAMA 501 [16], AS/NZS 4284 [17], SS 381 [18], CWCT [19], ASTM E 331 [20], ve BS EN 12155 [21], dış duvar yüzeyleri arasında üniform statik basınç farkı uygulayan deney yöntemlerini tanımlayan standartlardır. Deney yöntemlerinde yer alan deney protokolü Şekil 5'te verilmiştir. BS EN 12155 standardında tanımlanan deney protokolünde ilk olarak, duvar numunesi yüzeyine uygulanacak olan pozitif basınç değeri (150, 300, 450, 600 ve 600 Pa'dan yüksek) seçilir. Hazırlık aşamasında duvar yüzeyine üç defa, her biri en az 13 sn olmak üzere kısa süreli 500 Pa veya uygulanacak basınç değerinden %10 daha fazla pozitif basınç uygulanır. Daha sonra duvarın dış yüzeyine 15 dk boyunca sıfır basınç altında su püskürtme sistemi ile 2.0 L/m2 dk. oranında su püskürtülür. 15 dk sonunda su püskürtme işlemi ile eşzamanlı olarak belirlenen en yüksek basınç değerine ulaşılıncaya kadar her bir basınç değeri 5 dk süre ile uygulanır. (Örneğin 600 Pa basınç için basınç kademeleri 50, 100, 150, 200, 300, 450 ve 600 Pa'dır). Deney süresince, duvarın arka yüzeyinde su sızıntısı olup olmadığı gözlemlenir. NT BUILT 421 [22], AS/NZS 4284 [17], CSA A 440.1 [23] ve ASTM 547 [24] standartları, dış duvar yüzeyleri arasında devirli statik basınç farkı uygulayan deney yöntemlerini tanımlar. Deney yöntemlerinde yer alan deney protokolü Şekil 6'da verilmiştir. NT BUILT 421 standardında tanımlanan deney aletinde, 0° ile 90° arasında eğimi olan her yapı elemanının su geçirimlilik performansı değerlendirilebilmektedir. Deney öncesinde, duvar yüzeyine su püskürtülmez. Su püskürtme ve basınç uygulama işlemleri eşzamanlı olarak başlar ve biter. Birbirini takip eden beş adet basınç kademesi (0200, 0400, 0600, 0800, 01100 Pa) vardır. Deneyde, ilk üç saniyede belirlenen basınç değerine ulaşılır (200 Pa), 5 sn boyunca aynı basınç değeri sabit tutulur ve takip eden iki saniye sonunda basınç değeri 0 Pa'a düşürülür. Aynı basınç değeri için bu işlem 10 dk süreyle tekrarlanır. Daha sonra aynı işlemler dizisi bir üst basınç kademesi için (0400 Pa) uygulanır. AAMA 501 [16], SS 381 [18], CWCT [19] ve DD ENV 13050 [25] standarlarında ise dinamik basınç deney yöntemi tanımlanmaktadır. Bu yöntemin diğer yöntemlerden farkı, rüzgarın etkisini simule etmek için kullanılan alettir.

5. TARTIŞMA VE SONUÇ

Üniform statik basınç deneylerini tanımlayan AAMA 501 ve ASTM E 331 standartlarında su püskürtme oranı 3.4L/m2 dk olarak verilmektedir. Amerika'da yapılan bir çalışmaya göre, Amerika'da bir saatlik en yüksek düşey yağmur miktarı 12.7 cm olarak belirlenmiştir. Emniyet açısından bu değer yaklaşık olarak 20 cm olarak alınmış ve su püskürtme oranı 3.4L/m2 dk olarak hesaplanmıştır [26]. Bu açıklamaya bağlı olarak rüzgarla itilen yağmur şiddeti ve dolayısıyla su püskürtme oranının belirlenmesinde sadece düşey yağmur şiddetinin dikkate alındığı, eşzamanlı rüzgar hızı, rüzgar yönünün duvara olan açışı, düşey yağmur şiddetinde en yüksek oranda bulunan damla boyutu, bu boyuttaki damlanın son düşme hızı ve bina geometrisi gibi rüzgarla itilen yağmur şiddetini belirleyen diğer önemli değişkenlerin dikkate alınmadığı anlaşılmaktadır. BS EN 12155 ve DD ENV 13050 standartlarında, duvarın dış yüzeyine püskürtülmesi gereken su oranı 2.0 L/m2 dk olarak verilmiştir. Bu değer, söz konusu standartları hazırlayan çalışma grubunun İngiltere'deki dört ayrı ilin düşey yağmur şiddeti ve eşzamanlı rüzgar hızı meteorolojik verilerinden rüzgarla itilen yağmur şiddetinin hesaplamasıyla elde edilmiştir [27]. Hesap yönteminde, rüzgarla itilen yağmur şiddeti ve dolayısıyla su püskürtme oranının belirlenmesinde rüzgarın binaya dik olarak geldiği ve bütün yağışların 1.2 mm çapında damlalardan oluştuğu kabul edilmiş (orta şiddetli yağışlar için geçerlidir) ve bina geometrisi dikkate alınmamıştır. İngiltere'nin meteorolojik verilerinden hesaplanan su püskürtme oranının her bölgede geçerli bir değer olarak kullanılmasının önerilme nedeni ise su geçirimlilik oranının sadece basınç değeri ile ilişkili olduğunun kabul edilmesidir. Diğer bir anlatımla, söz konusu kabule göre duvar yüzeyinde bir film tabakası oluştuktan sonra su püskürtme oranı artışı su geçirimlilik oranında bir artışa neden olmaz, sadece basınç değerindeki artış su geçirimlilik oranında artışa neden olur. Oysa laboratuvar deneyleri [2833], su geçirimlilik oranının su püskürtme oranı, basınç değeri, boşluk boyutu ile şekli, deney süresi gibi bir çok değişkene bağlı olduğunu; diğer bir anlatımla su püskürtme oranındaki artışın da su geçirimlilik oranında artışa neden olduğunu ortaya koymuştur. Söz konusu su püskürtme oranı, tst EN 12155Giydirme cephelerSu sızdırmazlıkStatik basınç altında laboratuvar deneyi ve tst EN 13050Giydirme cephelerSu sızdırmazlıkDinamik hava basıncı ve su püskürtme etkisi altında laboratuvar deneyi standartları vasıtasıyla Türkiye'de yapılacak olan deneylerde de kullanılacaktır. Bu durumda daha doğru bir yaklaşım, Türkiye'nin verilen bir ilinde yapılacak olan bir dış duvar sisteminin su geçirimlilik performansının değerlendirilmesinde kullanılacak olan su püskürtme oranının, söz konusu ilin meteorolojik verilerinden yararlanılarak tüm değişkenleri dikkate alan bir yöntemle [10] hesaplanmasıdır. Su püskürtme oranının her il için 2.0 L/m2 dk olarak alınması yerine verilen ilin meteorolojik verilerinden yararlanılarak tüm değişkenleri dikkate alan bir yöntem ile hesaplanmasının önemi şöyle açıklanabilir. Verilen bir il için hesaplanan su püskürtme oranı, 2.0 L/m2 dk oranından daha düşük ise duvarda alınacak su geçirimsizlik önlemine bağlı olarak duvarın yapım maliyeti azalır; hesaplanan oran 2.0 L/m2 dk oranından daha fazla ise duvara su girme riski artar. Böyle bir duvarda meydana gelebilecek hasarın onarılamadığı durumlarda duvar faydalı ömründen çok önce ömrünü tamamlamış olur. Hasarın onarılabileceği durumlarda ise onarım maliyeti çoğu zaman, duvar ilk yatırım maliyetinden fazla olur. Üniform statik basınç deneylerini tanımlayan standartlar içerisinde BS EN 12155 standardı geniş bir basınç aralığını ve en yüksek basınç değerini vermektedir. Deney öncesinde, uygulanacak olan en yüksek basınç değerinin seçilmesi gerekmektedir. Seçilmesi önerilen en yüksek basınç değerleri 150, 300, 450 ve 600 Pa'dan biridir, (600 Pa'dan daha yüksek bir değer seçilebilir) ve bunlar sırasıyla, yaklaşık olarak, 15.5, 22, 28 ve 30 m/sn rüzgar hızına eşit olmaktadır. Türkiye maksimum ortalama rüzgar hızı verilerine göre Çanakkale, Ankara ve diğer bazı illerimizde 38 m/sn maksimum hızlar ölçülmüştür. Ancak bu tip ortalama rüzgar hızı ölçüm değerleri, basınç değerinin seçimi veya hesaplanması için uygun veriler değildir. Bunun nedeni ise yağışın olmadığı durumda ortalama rüzgar hızının, yağışın olduğu duruma nispeten daha düşük olması [34] ve Türkiye ortalama rüzgar hızı verilerinin, hem yağışlı hem de yağışlı olmayan zamanlarda yapılan ölçümlerden elde ediliyor olmasıdır. Bu durumda doğru bir yaklaşım 1, 5, 10, veya 30 yıl içerisinde oluşabilecek en yüksek yağışla eşzamanlı rüzgar hızı değerinin belirlenip, bu değerden basınç değerinin hesaplanmışıdır. Verilen bir il için basınç değerinin bu yöntemle hesaplanması, duvar yapım maliyeti için en uygun yaklaşım olacaktır.

AAMA 501, ASTM E 331, ASTM E 547, CSA A 440.1 ve NT BUILT 421 standartları haricindeki tüm standartlarda verilen deney protokolünde ilk olarak duvarın yüzeyine belirli bir süre boyunca basınç uygulanmadan su püskürtülür. Bu uygulamanın iki yararı vardır. Bunlardan biri, basınç uygulaması öncesinde duvar yüzeyinde film tabakası oluşur. Diğeri ise dış kaplamadaki çeşitli tip boşluklardan su girişinde sadece yerçekimi kuvvetinin etkisi belirlenir. Üniform statik basınç deneylerinde, duvarın dış ve iç yüzeyleri arasındaki basınç farkı simule edilmekte, basınç farkının zamansal değişimi, basınç gradyeni ile zamansal değişimi ve suyun tüm yönlere hareketi simule edilmemektedir. Üniform statik basınç deneyleri, uygulama açısından en basit yöntem olması nedeniyle tercih edilmektedir. Devirli statik basınç deneyinde ise duvarın dış ve iç yüzeyleri arasındaki basınç farkı ve basınç farkının zamansal değişimi basit bir şekilde simule edilmektedir. Yöntemde, basınç gradyanı ile zamansal değişimi ve suyun tüm yönlere doğru hareketi simule edilmemektedir. Devirli basınç deneylerini tanımlayan standartlar incelendiğinde (Şekil 6), standartların rüzgarın zamansal değişimini simule eden devir konusunu farklı şekillerde yorumladıkları görülmektedir. Rüzgarın zamansal değişimi saniye ile ifade edilir. NT BUILT 421 ve AS/NZS 4284 standartlarında her devir saniye süresince uygulanmakta iken (dakikada 20 devir 0.33 Hz) CSA A 440.1 ve ASTM E 547 standartlarında verilen devirlerin her biri 5 dk süre ile uygulanmaktadır. Dinamik basınç deneyinde ise rüzgarın tüm etkileri, diğer bir anlatımla basınç farkı, basınç gradyanı ve bunların zamansal değişimi ile suyun tüm yönlere doğru hareketi simule edilmeye çalışılmaktadır. Standartlarda tanımlanan performans kriterleri incelendiğinde, tüm standartlar dış kaplamadan suyun geçmesi ve geçen suyun dışarı atılmaması durumunda duvarı su geçirimli olarak kabul etmektedirler.

KAYNAKLAR

|1] CarlI C. Rainvvater intrusion in liğhtframe building vvalls. 2nd Annual Conference on Durability and Disaster Mitigation in WoodFrame Housing, Forest Products Society, Madison, WI, USA, 2001, p. 3340.

[2] Killip İR, Cheetham DW. The prevention of rain penetration through externai vvalls and joints by means of pressure equalization. Building and Environment 1984; 19(2): 8191.

[3] Building Envelope Engineering Inc. Wall moisture problems in Alberta dvvellings. Canada Mortgage and Housing Corporation: 1999.

[4] Canada Mortgage and Housing Corporation. Comparative analysis of residential construction in Seattle, Washington and Vancouver British Columbia. Building Envelope Research Consortium and Canada Mortgage and Housing Corporation; 1999.

[5] Straube J, Burnett FP. Rain control and design strategies. Journal of Thermal Envelope and Building Science 1999; 23: 4156.

[6] Scott DL. Rain leakage in vvood frame vvalls: two case histories. Building Research Note 210, Division of Building Research, National Research Council Canada; 1984, (BRN210).

[7] Morrison Hershfıeld Limited. Survey of building envelope failures in the coastal climate of British Columbia. Canada Mortgage and Housing Corporation; 1996.

[8] Maref W, Lacasse MA, Booth DG. An approach to validating computational models for hygrothermal analysisfull scale experiments. Proceedings of the 3rd International Conference on Computational Heat and Mass Transfer, 2003: 243251.

[9] Sahal AN, Lacasse MA. Experimental assessment of \vater penetration and entry into sidingclad vvall specimen. Internal Report, Institute for Research in Construction, National Research Council Canada, 862; 2004, (IRCIR862).

[10] Sahal AN, Lacasse MA. Water penetration of vvall claddingovervievv of climatic parameters, related test standards, and test and research facilities. Internal Report, Institute for Research in Construction, National Research Council Canada, 863; 2004, (IRCIR863).

[11] Beard KV. Terminal velocity and shape of cloud and precipitation drops aloft. J. of the Atmospheric Sciences. 1976; 33, 851864.

[12] Kragh MK. Microclimatic conditions at the external surface of the building envelopes. Ph.D. thesis. Technical University of Denmark, Department of Buildings and Energy, Report R027, 1998.

[ 13J Straube J. Rain, Driving Rain and Rain Control Seminar Povver Point presentation. [14] Choi ECC. Parameters affecting the intensity of vvinddriven rain on the front face of a building. Journal of Wind Engineering and lndustrial Aerodynamics, 1994; 53: 117.

[15] Best AC. The size distribution of raindrops. Quarterly Journal of the Royal Meteorological Society 1950; 76: 1636

[16[ AAMA 501:1994. Methods of test for exterior vvalls. American Architectural Manufacturers Association, USA. [17] AS/NZS 4284:1995. Testing of building facades. Standards Australia & Standards Nevv Zealand.

[18) SS 381, 1996: Materials and performance tests for aluminum curtain vvalls, Singapore Standard, Singapore.

[19] CWCT: 1996. Standard and good practice for curtain vvalling Standard test method for vvatertightness using static pressure. Centre for Window and Cladding Technology, UK.

[20] ASTM E 331:2000. Standard test method for water penetration of exterior vvindovvs, skylights, doors and curtain vvalls by uni form static air pressure difference. American Society for Testing and Materials, USA.

[21] BS EN 12155:2000. Curtain vvallingvvatertightnesslaboratory test under static pressure. British Standard, UK. [22] NORDTEST STANDARD NT BUILD 421:1993. Roofs: vvatertightness under pulsating air pressure.

[23] CSA STANDARD A440.1:1998. Windowsuser selection guide to CSA standardA44098, vvindovvs. Canadian Standards Association, Canada.

[24J ASTM E 547: 2000. Standard test method for vvater penetration of exterior vvindovvs, skylights, doors and curtain vvalls by cyclic static air pressure difference. American Society for Testing and Materials, USA.

[25] DD ENV 13050:2001, Curtain vvallingvvatertightnesslaboratory test under dynamic conditions of air pressure and vvater spray. Draft Standard.

[26] ASTM E 1105: 2000. Standard test method for field determination of vvater penetration of installed exterior vvindovvs. skylights, doors and curtain vvalls by uniform or cyclic static air pressure difference. American Society for Testing and Materials, USA.

[27] Mayo AP. To develop a European Standard dynamic vvatertightness test for curtain vvalling, Task 3Define the conditions to be produced in the Standard test. Building Research Establishment, 1998.

[28] Ritchie T, Plevves WG. Preliminary tests of the rain resistance of brickvvork panels. Internal report no. 108. Division of Building Research. National Research Council Canada, 1956.

[29] Ritchie T, Plevves WG. Moisture penetration of brick masonry panels. Research paper no. 118. Division of Building Research. National Research Council Canada, 1961.

[30] Roberts, J. J., 1980. Rain penetration problems vvith concrete blockvvork. Chemistry and Industry. 194197.

[31] Selvarajah S, Johnston AJ. Water permeation through cracked single skin masonry. Building and Environment. 1997; 30 (1): 1928.

]32] StHilaire AT, Derome D, Fazio P. Approach for the simulation of vvetting due to rain infiltration for building envelope tesüng, Proceedings of the Ninth Canadian Conference on Building Science and Technology, National Building Envelope Council (NBEC) Canada, Vancouver, British Columbia Canada; 2003: 459474.

[33] Sahal AN, Lacasse MA. VVater entry function of a hardboard sidingclad vvood stud vvall. Building and Environment. Article in Press. (http://authors.elsevier.com/sd/ article/S0360132304003403)

[34] Surry D, Skerlj P., Mikitiuk MJ. An exploratory study of the climatic relati onships betvveen rain and vvind. Final Report BVVLTSS221994, Faculty of Engineering Science, University of Western Ontario, London, 1994.

Y.Doç. Dr. A. Nil ŞAHAL

İ.T.Ü. Mimarlık Fakültesi


 


İlginizi çekebilir...

Isı Yalıtım Ürünlerinde Performans, Güvenirlilik ve Uygunluk: Avrupa Standartlarının Teknik Çerçevesi

Binalarda sürdürülebilirlik, enerji verimliliği ve güvenlik hedeflerinin karşılanması, doğru tasarlanmış bir yalıtım stratejisinin varlığına bağlıdır....
24 Ocak 2026

Polimer Bitümlü Örtüler ile Etkili Su Yalıtımı

Fosil esaslı bitüm bileşen ve asfaltın inşaatlarda kullanımı Avrupa'da 18. Yüzyıla kadar dayanmaktadır. Günümüzde Polimer modifiyeli bitümlü örtül...
19 Temmuz 2025

Pratik ve Çözüm Üreten Bitümlü Örtülerde Çeşitlilik Artıyor

Gelişen teknoloji ve değişen ihtiyaçlar doğrultusunda dünya genelinde yapıların ve inşaat tekniklerinin değiştiğini gözlemliyoruz. Bu değişimlere bağl...
21 Kasım 2024

 
Anladım
Web sitemizde kullanıcı deneyiminizi artırmak için çerez (cookie) kullanılır. Daha fazla bilgi için lütfen tıklayınız...

  • Boat Builder Türkiye
  • Çatı ve Cephe Sistemleri Dergisi
  • Enerji & Doğalgaz Dergisi
  • Enerji ve Çevre Dünyası
  • Su ve Çevre Teknolojileri Dergisi
  • Tersane Dergisi
  • Tesisat Dergisi
  • Yangın ve Güvenlik
  • YeşilBina Dergisi
  • İklimlendirme Sektörü Kataloğu
  • Yangın ve Güvenlik Sektörü Kataloğu
  • Yalıtım Sektörü Kataloğu
  • Su ve Çevre Sektörü Kataloğu

©2026 B2B Medya - Teknik Sektör Yayıncılığı A.Ş. | Sektörel Yayıncılar Derneği üyesidir. | Çerez Bilgisi ve Gizlilik Politikamız için lütfen tıklayınız.

0,844 sn